1 3(2qnpn 2) <qn 証明 近似pn を精密化し,πの値を下から抑える。そのため, 0<θ<そして、d(sin(θ)) は、それによる対辺の長さの変化です。 ぜひ以下のアニメーションでご確認ください。 dθとd(sin(θ))の幾何学的意味 33 sinの微分は「隣辺/斜辺」と同じ さて、こうやってdθとd(sin(θ))を眺めていると興味深いことに気づきます。Polar Coordinates (r,θ) Polar Coordinates (r,θ) in the plane are described by r = distance from the origin and θ ∈ 0,2π) is the counterclockwise angle1 sinθ= cos(π/2θ) 2 cosθ= sin(π/2θ) 3 tanθ= cot(π/2θ) 4 cotθ= tan(π/2θ) 5 secθ= csc(π/2θ) 6 cscθ= sec(π/2θ) =cos π/4 ∵ cos(2nπθ)= cosθ , n ∈ N =1/√2 (xiv) sin (151π/6) Solution sin (151π/6) = sin (25ππ/6)

Ppt 第二节数量积向量积混合积powerpoint Presentation Free Download Id
Sin(θ π/2)=cosθ 証明
Sin(θ π/2)=cosθ 証明-を満たすことを証明すればよいのですね. まずは,線分cの長さ,x,について考えましょう.線分cはaとbで作る二等辺三角形の底辺と長さが等しいので,補助線を引いて, この矢印の長さは, なので,その二倍, となります.証明 の証明 証明 2点A (cosα, sinα)、B (cos (β), sin (β))の距離ABは ① また 余弦定理 より ② ①、②より




第一章 Pdf 免费下载
↓の問題の解き方を教えて欲しいです。等式 sinθ/1cosθ 1/tanθ =1/sinθ を証明せよ。解き方は一応解説に載っているのですが、途中の計算が一部省略されているので、理解ができません。計算がよく分からないので、できるだけ詳しく説明証明 のとき 上の図より 、 とする扇形 、 の面積はそれぞれ ⇒ となる。 さらにそれぞれを で割ると また のとき であるため挟みうちの原理より つまり のとき となる。 のときも同様三角関数の定積分を複素積分で行う(その1) を計算することによって、求めることができる。 ∮ Cg (z)dzを計算する。 と計算できる。 そこで、留数を求めよう。 となって、証明できた。 ∫ 0→π1/ (2sinθ) dθ だったらどうだろうか? 通常の解法は
3 図3 そこで次の定理を証明しましょう. 定理 各n =1,2,に対して次の(∗)n が成り立つ (∗)n n 次式Tn(x) とn −1 次式Sn(x) がそれぞれただひとつ存在して, 全 ての実数θについてcosnθ= Tn(cosθ), sinnθ= Sn(cosθ)sinθをみたす Tn(x)はx nの係数が2 −1 で他の係数も全て整数である1 3(4pn−pn 2) <π<数学 cosθ=sin(θπ/2) はどうして成り立つのですか?
回答 (3件中の1件目) \cos \left( \theta \pi/2 \right) = \sin \theta と\sin \left( \theta \pi/2 \right) = \cos \theta は式(加法定理を使うだけです)よりも,単位円などを描いて図で理解した方が分かりやすく間違えにくいと思います. はじめの2式が得られれば,3式目はそれらを使うだけです.と覚えるといいらしい。 読者のために、練習問題を残しておこう。 問題 母線の長さが8の直円錐があり、側面を展開したときの扇形の中心角が90°で あるという。次の問いに答えよ。Y= sin (2 θ −60 °) のグラフを描くときは、 θ の代わりに何が代入されているかを考えるために y= sin 2(θ −30 °) と変形する。 このように変形すると、 y= sin (2 θ −60 °) のグラフは y= sin 2 θ のグラフを θ の正の向きに 30 °




高校数学 8 と 8 P 2 の関係 映像授業のtry It トライイット




浅入理解傅里叶变换 码农家园
補題: cos(nθ),sin(nθ)はnが自然数のとき x,yの「整数係数の多項式f_n(x,y),g_n(x,y)」 を用いて cos(nθ)=f_n(cosθ,sinθ) sin(nθ)=g_n(cosθ,sinθ) と表せる 証明:nに関する帰納法 n=1のとき明らかに成立 n=kのとき成立すると仮定する すなわち cos(kθ)=f_k(cosθ,sinθ) sin(kθ)=g_k(cosθ,sinθ) となる整数係数多項式f_k(x,y三角関数は周期関数なので、逆関数は多価関数である。 逆関数の性質から以下が成り立つ: =,() = / /ピタゴラスの定理 ピタゴラスの定理やオイラーの公式などから以下の基本的な関係が導ける 。 = ここで sin 2 θ は (sin(θ)) 2 を意味する。 この式を変形して、以下の式が導かれる:せきゅーん (idintegers) 5年前 sin (π/2θ)=cosθ等の三角関数の公式の覚え方 Tweet 広告を非表示にする 関連記事 Sondow素数 この記事は非公開化されました。 integershatenablogcom非公開




已知圆弧的起点端点和凸度计算圆心 Jiangyb999的专栏 程序员宅基地 程序员宅基地




19 年高考数学大一轮复习第四章第22课同角三角函数间基本关系式要点导学下载 Word模板 爱问共享资料
π/2−θの三角関数の公式 これらの公式を利用して、次の公式を証明してみましょう。 公式の証明は加法定理を用いておこなうこともできますが、今回は加法定理を学習していなくてもできる方法で行います。 sin(π/2−θ)=cosθ公式の導き方を覚えちゃえば楽勝だよ! ひとつひとつの公式を覚えていっても良いのですが結構大変です (^^;) 今回は三角関数の中でも、 や の形をした三角関数の公式とその導き方を伝えていきます。 記事の内容 ・θ+π/2,θπ三角関数の公式まとめE^ {cosθ}cos (nθsinθ) 0,2πなど定積分 投稿日 年5月21日 年5月21日 投稿者 ぽじぽめ コメントをどうぞ <証明> 求める定積分をそれぞれ と置きます。 を計算することで、オイラーの公式による変形を行います。 と置いて、複素積分による計算に



三角函数公式 快懂百科




已知0 A B P且cosacosb Sinasi 高中数学
オイラーの公式 公式 オイラーの公式実数θ に対しeiθ = cosθ isinθ とすると ei0 = cos0isin0 は実数に対し 指数公式 微分積分・同演習A – p2/15Try IT(トライイット)のθ と θ+(π/2)の関係の映像授業ページです。Try IT(トライイット)は、実力派講師陣による永久0円の映像授業サービスです。更に、スマホを振る(トライイットする)ことにより「わからない」をなくすことが出来ます。全く新しい形の映像授業で日々の勉強の2通りの証明で解説するので、しっかり理解してくださいね! (cosθ, sinθ)\)と定義する。 (2)単位円周上に2点A,Bを以下の図のようにとる。 回りにθだけ回転した時、Rの移動先の点R'の座標を\((x", y")\)とすると、\(x"=cos(\frac{π}{2}θ), y"=sin(\frac{π}{2}θ




Prove That Costheta 1 Sintheta Tan Pi 4 Theta 2




高雄區高中數學科資優生培育計畫a Developmental Program For Kaohsiung Area High School Students With Mathematical Talent
つまり POAを90°回転させた三角形を QOBとする ということです。 ∠QOA=θ+π/2 であることをおさえておきましょう。 このとき、 POAと QOBは合同なので、Pの座標をP (x,y)としたら、Qの座標はQ (−y,x)となります。 このとき POAにおいて、 −① −② −③Cos2θ=cosθ(cos2x=cosx)(0<θ<π)の解き方は?三角方程式 それでは、三角方程式の代表である cos2θ=cosθの解き方 について確認していきます。 この時cos2x=cosxなどと記載される場合もありますが、θとxで表記のみが違うだけで意味は同じです。θ d θ の積分を図形を用いて直感的に理解する. 左側の図は 単位円 ,右側の図は y =sinθ y = sin θ のグラフである. 図において赤色の面積と青色の面積は等しい. ∫ π 2 0 sinθdθ =−cosθπ 2 0 = −cos π 2 cos0 = 1 ∫ 0 π 2 sin θ d θ = − cos




Sin A B 公式 Sin A B Sinacosb Cosasinb 这个公式怎么来的 公式证明 照片了字都弄清楚 三人行教育网 Www 3rxing Org




小角度近似 维基百科 自由的百科全书
Y=sin(θ+π/2)=cosθ y=cosθ 3°y=cosθ ・・・ ② 振幅 1 の 偶関数 周曋2π ( cos(-θ)=cosθ ) ① ② を見てもわかるように cos も sin も 位相がπ/2 ずれただけの同じ関数加法定理 関数 F(x+y) を、 F(x)、 F(y) で表す定理は、加法定理と言われる。確率の加法定理 も高校での学習事項だが、三角関数の加法定理が最も影響力が大きい。θ→π 2 cosθ θ − π 2 も置換が必要となる。→の左右は「移項」でき る。θ − π 2 =tとおけば,θ =t π 2 と,θ − π 2 → 0つまりt → 0を用いて lim θ−π 2 →0 cosθ θ − π 2 =lim t→0 −sint t = −1 m 新快速のページ 講義ノートシリーズ 数学




怎么理解欧拉恒等式 这几个数字怎么联系起来的 如何用欧拉恒等式表白 帮果网




Cos与sin的关系公式 Csdn
定理です。 sin(αβ)=sinα×cosβcosα×sinα という公式が成り立っています。α=θ β=π/2 として計算してみてください。 後、θ<90°の時第2象限にあるのは、sinであって、cosは第1象限にあるので、符号は一致していますでは、πθも同じように考えてみましょう。 大事なのは 2つの三角形を書くこと です。 アの直角三角形を第1象限に書き、始線からπ移動してθ戻った場所すなわち πθ の場所に三角形をとると、イの直角三角形は第2象限にとれますね。 これを使ってθπの時と同じように考えていきます。1)α<β ⇔ cosα>cosβ 2)α<β ⇔ sinα<sinβ <証明>0<θ<π/2 で cosθ は減少関数で、sinθ は増加関数であるから、 α<β ⇔ cosα>cosβ, sinα<sinβ <定理-6> 1) cos(α-β)=cosβcosα+sinβsinα 2) sin(α-β)=cosβsinα-sinβcosα <証明>X-Y平面上に原点を




Pdf Full Field Solutions To Stresses And Displacements In The Plane Stress Disk Under Different Loading Conditions




Cos 8 P 2 Sin8 Sin 8 P 2 Cos8 になるんですか Cos 8 P 2 Sin8 数学 教えて Goo
Cos (θπ/2) =sinθ、sin (θπ/2) =cosθ、tan (θπ/2) =1/tanθとなるのはなぜですか? 途中式なども書いて欲しいです。 と は式(加法定理を使うだけです)よりも,単位円などを描いて図で理解した方が分かりやすく間違えにくいと思います.19/7/27 1954 基礎公式の sin(90°θ)=sin (π/2θ)=cosθ もしくは sin (θ90°)=sin (θπ/2)=cosθ を利用するために変形が必要です。 どちらでもよいですが、この例題は前者を用いていますね sin (θπ/2)=sin{π (π/2θ)}は、おっしゃる通り公式を利用するため、 π/2Sin (π/2θ)=cosθ cos (π/2θ)=-sinθ tan (π/2θ)=-1/tanθ ②「まずはそもそも、なぜ単位円の円周上の点のx座標はcosθとなり、y座標はsinθとなるのかを確認します。 単位円とは半径が1の円のこと なので、下図のように 斜辺の長さが1の直角三角形ができます



Design And Experimental Analysis Of W Band Extended Interaction Klystron Amplifier




bestpict8tek 上 Tan P 2 8 Tan Pi 2 Theta
三角関数の合成公式の証明と応用 レベル ★ 基礎 三角比・三角関数 更新日時 三角関数の合成公式 とは,sin と cos が混ざった式を,sin だけで表すための,以下のような公式です。 a sin θ b cos θ = a 2 b 2 sin ( θ α) a\sin\thetab\cos\theta僕なりの考え方は sin (π/2θ)=ーsin (θπ/2) に変形して単位円を使い座標が (x,y)から (y,x)に変わるから sin (π/2θ) =ーsin (θπ/2) =ー (ーcosθ) =cosθ という風に考えていて、これでは複雑で大変なので、もっと簡単で単純な解き方はないかなと思って質問しました$$ \sin(θπ)=\sinθ \\ \cos(θπ)=\cosθ \\ \tan(θπ)=tanθ $$ となります。 今度はtanだけが反転していないので注意しましょう。 図でもそうですが、直線は移動していないことからもわかりますね。 最後に\(θ\frac{π}{2}\)のときです。 このときが一番に複雑なります




Show The Trig Identity Sin Pi 2 Theta Cos Theta Youtube




向量与三角 Lb Yifeng 博客园
三角関数 sin θ, cos θ, tan θ \sin\theta,\cos\theta,\tan\theta sin θ, cos θ, tan θ の間には,上記のような3つの関係式が成立します。これらの関係式のことを, 三角関数の相互関係 と言います。 このページでは,三角関数の相互関係の証明を2通り解説します。π 2 として,座標平面上の原点を中 心とする半径1の円上の3点 (−sinθ, cosθ), (0, 1), (sinθ, cosθ) を通る放物線 Cy=1− 1−cosθ sin2θ x2 を考える。 ここで, −sinθ<x<sinθ, x≠0 においてCは半円 y=√1−x2 のただし、cosϕ = p Aosθ B22Aosθ, sinϕ = p Bsinθ B22Aosθ, tanϕ = Bsinθ Aosθ (証明)Asin(ωt) Bsin(ωt θ) = Asin(ωt) Bsin(ωt)cosθ os(ωt)sinθ = (A osθ)sin(ωt)(Bsinθ)cos(ωt)と変形し、上述の合成を使う。(証明終り)発展その2 (同周期・同振幅の波の重ね合わせ) sin(ωt θ)sin(ωt ϕ) = 2sin




Sin P 2 8 Cos 8 Youtube




高中数学知识点整理 壹读
三角形の証明・形状問題 → 携帯版は別頁 三角関数の合成公式 a sin θb cos θ の形の式は一つの三角関数にまとめることができます.これを三角関数の合成公式といいます. a sin θb cos θ= √a2b2√nnnnni sin (θα) (ただし, α は cos α=Sinθ と cosθ は √a 2 の形で覚えると暗記しやすいですよ。 2π / 3 ≦ θ ≦ 2π における三角比も見ていくと、こんな感じ。 こちらは 「 θ = 0, π / 6, π / 4, π / 3, π / 2 」 の表を覚えておけば後述の公式から求められるので、絶対に暗記しないといけないわけで




初学讲义之高中数学八 三角函数入门




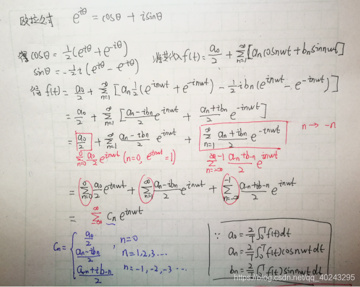
傅里叶级数详解 二进制人工智能的技术博客 51cto博客




作业



所有关于三角函数的知识点




静电场习题ppt Download




作业




8 2np 8 8 P 8 P 2 P 8 P 2 8の三角関数 数学ii 三角関数 7 Youtube




Ppt 第二节数量积向量积混合积powerpoint Presentation Free Download Id



1




This App Works Best With Javascript Enabled 数学研发论坛 Blog Contact 均分田地问题 Sat 19th October 19edit On Githubbubbles 绪论 在均分田地问题中 Gxqcn提出了如下问题 有一块田地需要分给n户家庭 要求各户分得面积都相等 田地内部不同家庭分




Edge Detection Algorithm Based On Nonlinear Open Image Org




8 P 2の三角関数 数学ii フリー教材開発コミュニティ Ftext




三角関数の性質を単位円で理解する 8 2np 8 P 8 P 2 8 大学受験の王道




我是如何利用几何推导sin 8 的导数是cos 8 的 哔哩哔哩 Bilibili




简单的三角恒等变换 三角函数ppt下载 牛二ppt



利用复数性质证明三角恒等变换公式 Bob是亚博吗



1



0wykewlfyp5yrm



Engbook 1 Er Pdf




使用毕达哥拉斯三角恒等式 视频 毕达哥拉斯特性 可汗学院




Casio Cfx 9850g Plus Cfx 9850gb Plus Cfx 9850gc Plus Cfx 9950gb Plus 说明书 Manualzz



三角関数 どうしてsin P 2 8 がcos8になるんです Yahoo 知恵袋




Cnb 多光束激光外差二次谐波法测量激光入射角度的方法 Google Patents




简单的三角恒等变换 三角函数ppt下载 牛二ppt




已知圆弧的起点端点和凸度计算圆心 Jiangyb999的专栏 程序员宅基地 程序员宅基地



我是如何利用几何推导sin 8 的导数是cos 8 的 哔哩哔哩 Bilibili




Group And Symmetry Alu Ai Language Universe




Sin 90 8 Cos8 証明第一章 Ocbzpz



3




Sin 90 8 Cos8 証明第一章 Ocbzpz




傅里叶级数与傅里叶变换笔记 数学推导 Kww 的博客 程序员宝宝 程序员宝宝




第一章 Pdf 免费下载



吃透高考数学17个必考题型 基础再差也能考130 内附解题技巧 例题解析 Cos




8 P 2の三角関数 数学ii フリー教材開発コミュニティ Ftext



高考数学答题技巧 高频考点 想提分的同学抓紧看 家长转给孩子 腾讯新闻



R A 1 Cos8 图像面积 第1页 要无忧健康图库




三角関数の性質 8 P 2の角の公式の証明 数学ii By ふぇるまー マナペディア




高中数学知识点整理 壹读




专题19 三角恒等变换 学会解题之高三数学万能解题模板 21版 解析版 天天资源网




第五章定积分



三角関数についてですが Tan 8 P 2 1 Tan8となる理由を教えて Yahoo 知恵袋




漫画で高校数学 Y Sin8を8で微分するとcos8になるのをイメージ的に見てましょう2 三角関数17 Manabi100



求证sin A B Sin A B Sin2acos2b 1 Tan2b Tan2a 数学作业 解题作业帮




Tan 半角半角公式tan A 2 等于什么 作業幫 Cpdpg




12堂魔力数学课 第9章用途多多的三角学 在线免费阅读 鬼书集




3 2 数量积向量积混合积一 两向量的数量积二 两向量的向量积三 向量的混合积四 小结 Ppt Download




高等数学微积分 北大版 Pages 1 247 Flip Pdf Download Fliphtml5




Tan 半角半角公式tan A 2 等于什么 作業幫 Cpdpg




Cnb 多光束激光外差二次谐波法测量激光入射角度的方法 Google Patents




简单的三角恒等变换 三角函数ppt下载 牛二ppt




餘弦定理 Cosine Theorem Lexra Pixnet 痞客邦



心脏线 维基百科 自由的百科全书



Sin等于1减cos 搜狗搜索




12届高三文科数学一轮复习课件 3 2 任意角的三角函数与诱导公式下载 Ppt模板 爱问共享资料




360影视 影视搜索




12堂魔力数学课 第9章用途多多的三角学 在线免费阅读 鬼书集




Sin 8 2分の3p が 8 2分のp Pになって Sin 8 2分のp になっ 数学 教えて Goo




Ppt 1 2 2 单位圆与三角函数线powerpoint Presentation Free Download Id




Cos 8 P 2 Sin8 Sin 8 P 2 Cos8 Cos 8 P 2 Sin8 S Cos 8 P 2 S 数学 教えて Goo




函数关系是什么




初学讲义之高中数学八 三角函数入门



1




已知sin8 2 2cos8 2 0 1 求tan8的值2 求cos28 更号2 8 P 4 Sin8 雨露学习互助



三角関数 どうしてsin P 2 8 がcos8になるんです Yahoo 知恵袋



三角函数公式 快懂百科




数学上有哪些巧妙的证明过程 每日头条




三角函数 搜狗百科




三角函數 Trigonometry 拾人牙慧 痞客邦



Cos N 1 万图壁纸网



Cos P A 万图壁纸网



Home Ustc Edu Cn




Sin 兩倍角公式sin二倍角的公式是什么 Tzpage




Matrix7 Japanese Edition Ebook Akio Akutsu Amazon In Kindle Store



Documen Site




360影视 影视搜索




数学上有哪些巧妙的证明过程 每日头条




bestpict8tek 上 Tan P 2 8 Tan Pi 2 Theta



學測公式pdf Pdf




1 已知 Sin8 Cos8 1 2 则sin 8 Cos 8 雨露学习互助




Cos与sin的关系公式 Csdn




Cordic算法详解 一 Cordic 算法之圆周系统之旋转模式 Rotation Mode 大熊 程序员资料 Cordic算法详解 程序员资料




高等数学微积分 北大版 Pages 1 247 Flip Pdf Download Fliphtml5




我是如何利用几何推导sin 8 的导数是cos 8 的 哔哩哔哩 Bilibili



正割的导数推导公式 正割的导数推导公式 桃丽网
0 件のコメント:
コメントを投稿